Free Test
Online
Mathematics Quizzes.
Home
GED Practice
Numbers and Operations
Word Problems
Scientific Notation
Proportions
Estimations
Order of Operations
Decimals
Algebra
Factoring and Patterns
Substitution
Inequalities
Equations
Exponents
Functions
Measurement and Geometry
The Metric System
Cartesian Coordinates
Time Measurements
Lines and Angles
Perimeter, Area, Volume
More Geometrical Problems
Data Analysis, Statistics and Probability
Mean, Median, Mode
Bar Graphs, Pie Charts
Substitution Practice Quiz
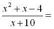
Question 1: Evaluate the following expression if x = -5.
11/3
-1/5
-4
16/5
18/5
Question 2: Evaluate the following expression if m = -1, n = 2 and p = 4.
m
3
- 2n + p/2
-3
-1
0
3
12
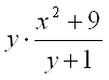
Question 3: If x = -1 and y = 1, calculate the value of:
-1
5
7
10
12
Question 4: Calculate the value of the expression below, where a = 2b and 3b = 6:
a
2
- b
2
- 2a + 3b
-4
-1
10
12
22
Question 5: y + x is equal to y
2
+ x
2
for which of the following (x, y) pairs:
x = 1, y = 1
x = 2, y = 1
x = 1, y = 2
x = 2, y = 2
x = 3, y = 3
Press the Submit button to see the results.